Obtener la expansión en serie de fourier de f(t)=|sent|.
como |sen| es una función par, entonces el coeficiente bn = 0, y nos dedicamos a encontrar an y a0.
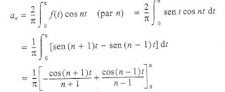
Y
Entonces:
como (n+1) y (n-1) son impares cuando n es par,
entonces :
Este blog está dedicado a dar una noción general de Matemáticas Avanzadas aplicadas a la ingeniería que se estudia en la carrera de Electrónica en la UPS Quito-Ecuador, tratándola desde un punto de vista práctico y sencillo.
No hay comentarios:
Publicar un comentario
Agradecemos tus comentarios, sugerencias o correcciones para ayudar a difundir y compartir los conocimientos científicos de una manera solidaria y evitando cometer el mínimo de equivocaciones posibles.
Att: pyhacking